
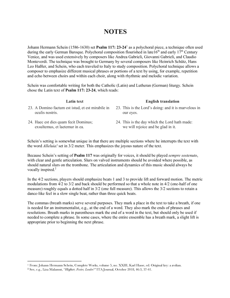
Discover key insights about the composition, arrangement, and composer, see what's included, and find information to enhance your practice and performance.



johann hermann schein


johann hermann schein


johann hermann schein

johann hermann schein


johann hermann schein

johann hermann schein
